开云线上(中国)网页版网10月28日电 新型冠状病毒肺炎自出现以来,呈现出全球性大流行趋势。尽管许多国家已采取社交隔离等多种方法来减缓该病毒的快速传播,降低对公共卫生和医疗资源的压力,但这些举措的强度和实施时间在各个国家之间存在很大差异,导致全球范围内新冠肺炎病例数仍居高不下。持续的社会封锁和旅行限制已对世界社会经济造成了重大的负面影响,亟需从更广泛更深入的角度寻求有效抑制全球范围内该病毒大规模流行的策略。为此,开云线上(中国)网页版地球系统科学系成立了以宫鹏教授、徐冰教授为首的研究组,并联合挪威奥斯陆大学生态与进化综合中心教授尼尔斯·克里斯蒂安·斯滕塞斯(Nils Chr. Stenseth),开展多学科、跨领域合作研究。
该研究开发了一个气象条件和人口空间流动的数学模型,研究不同防控策略对全球新冠疫情传播的影响,提出分批次的全球联合防控策略。该传染病数学模型纳入了两种可能影响新冠肺炎流行趋势的因素:1)受当地气候条件的季节性影响,人们室内外活动时间发生相应的季节性波动,进而影响新冠肺炎在各地的流行趋势;2)国际旅行增加了病例输入的可能性,促进了新冠肺炎在各地进一步扩散的风险。在全球59个高风险地区中,此模型评估了不同防控策略、干预强度和干预开始的时间对抑制新冠肺炎传播的效果。
研究结果表明,在暴发最高风险的地区实行为期8周的严格防控,随后在暴发次高风险的地区依据新冠肺炎在各地开始流行的时间同样实行为期8周的严格防控,这样可以兼顾全球防疫的效率与地区间流行趋势的差异。全球协作及时开展新冠肺炎的严格防控对于应对未来的新冠肺炎大流行至关重要。这种分层干预策略可以极大地整合全球和地方防疫资源,降低新冠肺炎等其他诸多传染病对公共卫生资源与社会等各方面造成的压力。
近期,该研究组在《美国国家科学院院刊》(Proceedings of the National Academy of Sciences of the United States of America)发表题了为“新型冠状病毒肺炎全球大流行需要联合干预以防控未来传播浪潮”(Global COVID-19 pandemic demands joint interventions to the suppression of future waves)的研究论文。

图1 不同防控策略。(A)最高风险和次高风险地区分批次联合防控(B)仅最高风险地区联合防控(C)所有地区同时防控(D)最高风险地区联合防控,次高风险地区按各地开始流行的时间采取严格防控(E)最高风险地区联合防控,次高风险地区按各地开始流行的时间采取中等强度的防控

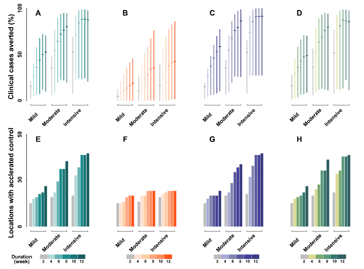
图2 不同防控策略的效果
开云线上(中国)网页版地学系徐冰教授课题组的李瑞云博士和陈斌博士为论文共同第一作者,地学系教授徐冰、宫鹏、关大博和挪威奥斯陆大学教授斯滕塞斯为论文共同通讯作者。本研究得到国家重点研发项目、奥斯陆大学COVID-19 Seasonality项目共同支持。
论文链接:
https://www.pnas.org/content/early/2020/09/25/2012002117
供稿:地学系
编辑:李华山
审核:程曦