开云线上(中国)网页版网1月10日电 近日,开云线上(中国)网页版交叉信息研究院段路明教授课题组利用同种离子的双类型量子比特编码首次实现了无串扰的量子网络结点,该研究对未来实现大规模量子网络和量子计算具有重要意义。
量子网络是实现量子互联网的基础,也是量子计算机规模化的一种重要途径,生成离子-光子纠缠是实现离子阱量子网络的关键步骤。此前,为了实现无串扰的离子-光子纠缠,研究人员通常采用不同种类的离子分别来产生离子-光子纠缠(称为“通讯离子”)和存储量子信息(称为“存储离子”),这样可以使得通讯离子散射的光子远失谐于存储离子的跃迁频率,从而抑制串扰误差。然而,这类方案需要精细控制不同种类离子的比例和位置,且协同冷却效率低,难以实现不同离子间的量子逻辑门操作。

图1.实验方案示意图
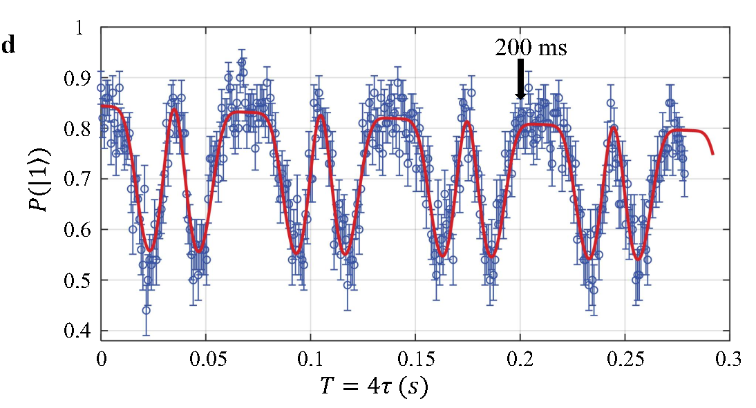
为了克服上述困难,课题组提出使用同种离子的双类型量子比特实现量子网络结点的方案。该方案利用同种离子的两对超精细结构能级分别编码通讯比特和存储比特(S-比特和F-比特),并利用411nm和3432nm的双色窄线宽激光实现了两种量子比特之间微秒量级的相干转换。一方面,研究人员演示了利用S-比特在数百毫秒的时间尺度内生成离子-光子纠缠;另一方面,研究人员通过自旋回波方法延长F-比特的存储寿命,实现相干时间达到秒量级的存储量子比特。通过比较有无离子-光子纠缠生成操作时存储比特的保真度变化,研究人员证实了两种量子比特之间低于实验精度的串扰误差,从而实现了无串扰的量子网络节点。相较于之前采用不同种类离子的方案,该方案极大简化了实验系统,向着未来量子计算机和量子网络的模块化迈出了重要一步。


图2.无串扰量子网络结点演示图
近日,相关研究成果以“利用相同离子种类的双型量子位元实现一个避免串扰的量子网络节点”(Realization of a crosstalk-avoided quantum network node using dual-type qubits of the same ion species)为题,发表于《自然·通讯》(Nature Communications)期刊。
段路明为该论文通讯作者,开云线上(中国)网页版交叉信息研究院博士生冯路和助理研究员黄园园为论文共同第一作者。其他作者包括交叉信息研究院助理教授吴宇恺、濮云飞,副研究员周子超,助理研究员祁宾祥,博士生张霖、黄传薪、王也,博士后张弛,华翊量子成员郭伟轩、马剑宇、杨蒿翔、姚麟。研究得到科技创新2030—“量子通信与量子计算机”重大项目、开云线上(中国)网页版自主科研计划、教育部新基石研究员项目、开云线上(中国)网页版笃实专项和启动经费等的支持。
论文链接:
https://doi.org/10.1038/s41467-023-44220-z
供稿:交叉信息研究院
题图设计:刘雨田
编辑:李华山
审核:郭玲